המרכיבים העיקריים של תחנת שאיבה אוטונומית הם משאבה, מיכל אחסון, מתג לחץ למצבר הידראולי שסתום חד כיווני... יחידת הלחץ מזרימה נפח מים נתון לרשת. מכשיר ההידרו-צבר מצטבר ושומר על לחץ קבוע להזנת מים לצרכן. יחידת הבקרה מבטיחה מחזור פעולה יציב של הציוד של מערכת אספקת המים הקרים. בואו נסתכל מקרוב על המקום בו הוא מוחל וכיצד להקים מצבר הידראולי ומתג לחץ.
תוֹכֶן
הידראולומולטור במערכת אספקת המים הקרים
חיבור ישיר של משאבה צוללת או עילית גורם לאספקת מים לא יציבה. יחידת הלחץ מתייבשת עם צריכת מים מינימלית. הימצאות מצבר כוח משיכה או פנאומטי במערכת אינה דורשת פעולה מתמדת של מפוח הלחץ הראשוני. מיכל המילואים שומר על צריכת מים קבועה לצורכי משק בית ושתייה. אספקת המים מפחיתה את התלות של אספקת המים האישית בגורמים חיצוניים.
מבנה הכבידה של המצבר הוא מיכל אטמוספרי עם חיישן מפלס צף. בעליית הגג של הבית, מעל לנקודות הדגימה של מים, מותקן מיכל פתוח. הראש במערכת יוצר את משקל העמוד הנוזלי. המשאבה נשלטת על ידי מנגנון צף או חיישני מפלס.
מצברים הידראוליים מודרניים לאספקת מים אוטונומית פועלים עקב לחץ עודף בתא האוויר. עקרון הפעולה של מצברים פנאומטיים מבוסס על יחסי גומלין של אוויר דחוס ומים. לִשְׁאוֹב שואב מים לנורת גומי שנמצאת בתוך המארז. נפח תא האוויר פוחת והלחץ עולה. במרווחים שבין הפעלת היחידה, האוויר דוחף את אספקת המים מהקרום לרשת הצרכן.
המים אינם באים במגע עם הקירות הפנימיים של המיכל האטום. תא אוויר מפריד בין הממברנה לבין בית המתכת. אם משתמשים במצבר במערכת אספקת מי שתייה, אז חומר הממברנה הוא גומי ניטרלי מבחינה כימית. בעת שימוש במיכל אחסון במערכת חימום או אספקת מים חמים, משתמשים בקרומים עם עמידות גבוהה לטמפרטורות גבוהות.
ישנם דגמים אנכיים ואופקיים של מיכלי אחסון פנאומטיים בעלי יכולות שונות.תרשים החיבור של המצבר קובע את סוג המשאבה ואת דגם המצבר. מיכלים אופקיים משמשים ליחידות שטח רחוקות. מפוח הלחץ מותקן על הפלטפורמה, בחלקו העליון של גוף האחסון (כלומר הצילינדר ממוקם מתחת למשאבת ההטמעה העצמית).
מאמר קשור:
כללים להתאמת מתג לחץ המים למשאבה. לאחר שהכרתם את הכללים הפשוטים להתאמת מתג לחץ המים, כמו גם את דקויות ההגדרה, תוכלו לבצע עבודה כזו בעצמכם.
תחנות דלק עם יחידות טבולות מצוידות בצברים אנכיים. המצבר ממוקם מעל רמת ההתקנה של המשאבה העמוקה.
נפח מיכל האגירה ההידרופנאומטי תלוי בצריכת המים לשעה, בהספק ובתדירות הפעלת המשאבה ובגובה מערכת הצינור. ככל שצריכת המים גבוהה יותר ונפילת הלחץ להפעלת / כיבוי המשאבה נמוכה יותר, כך קיבולת המצבר גדולה יותר.
אלמנטים קונסטרוקטיביים של המצבר:
- מעטפת מתכת סגורה הרמטית המיועדת לעבוד בלחץ (1.5 ÷ 6 אטמוספרות);
- קרום אלסטי - מיכל פנימי לאספקת מים;
- אוגן עם שסתום לחיזוק הממברנה לגוף ומילויו במים;
- פטמה לשאיבת אוויר לחדר האוויר של הצילינדר;
- שסתום להוצאת אוויר מחדר המים (לצברים בנפח העולה על 100 ליטר);
- סוגר לחיבור כלי קטן לקיר או לרגלי התמיכה, עם רפידות גומי להרכבה לדגמים גדולים יותר;
- סט המיכל האופקי כולל סוגר תמיכה להתקנה משותפת של משאבה עילית עם מצבר הידראולי ומתג לחץ.
חָשׁוּב! המילוי הראשוני של הגליל ההידראולי של המצבר במים מתבצע בהדרגה כדי לא לפגוע בשלמות האגס, מכיוון לאחר האחסון, קירות קרום הגומי בדרך כלל נדבקים זה לזה.
חישוב נפח המצבר
השיטה לבחירת מצבר הידראולי מיועדת לבתים בודדים הצורכים כמות גדולה של מים (בִּיוּב, אמבטיה, מקלחת, כמה מערבלים, בידה, מכונת כביסה ומדיח כלים). מקדם הצריכה הכולל וצריכת המים המקסימלית לצורכי משק בית ושתייה נקבעים על פי מספר נקודות המים. נפח המצבר נקבע על ידי הנוסחה:

V הוא נפח המצבר, l;
Qmax הוא צריכת המים המקסימלית לצורכי משק בית ושתייה, ליטר / דקה;
a הוא מספר הפעלות המערכת לשעה (הערך המומלץ הוא 10 הפעלות);
Рmin - לחץ הפעלת משאבה, כספומט;
Pmax - לחץ על כיבוי משאבה, כספומט;
Ro הוא הלחץ של תא האוויר המצבר, כספומט.
מתקן רגיל לאספקת מים לבית עונתי קטן מצויד בדרך כלל במצבר 24 ליטר. לבית עם יותר משלוש נקודות ניתוח, בחר כונן של 50 ליטר. יתר על כן, בדרכון הטכני של הציוד, היצרן מציין את נפח הגליל הכולל (כולל תא האוויר).
התאמת לחץ ההפעלה של המצבר
עבור אספקת מים ביתית של בתים חד קומתיים, הלחץ של אווירה אחת נחשב מספיק. עם זאת, יש לזכור כי לחץ האוויר בתא האוויר חייב להיות גדול מהלחץ הסטטי של נקודת ההקשה הגבוהה ביותר.
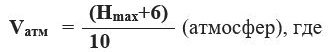
לחץ הכיבוי המקסימלי תלוי במאפיין ראש המשאבה. הלחץ שהמשאבה מספקת חלקי 10 מתאים לסף התגובה העליון של מערכת אספקת המים האוטומטית.התיקון נעשה בהתנגדות הידראולית לינארית, המתח האמיתי של רשת החשמל, המצב הטכני של הציוד וגובה מערכת אספקת המים בבית.
ההבדל המומלץ בין הלחץ לסירוגין על המשאבה לאספקת מים אוטונומית הוא 1.0 ÷ 1.5 אטמוספרות. הגדלת הגדרת המפעל (1.5 אטמוספרות) תפחית את עוצמת השמורה ותגדיל את הראש במערכת. לחץ גבוה של אספקת מים קרים מגדיל את הצריכה, מוביל לשימוש לא הגיוני במשאבי האנרגיה.
נוסחה לחישוב הלחץ הנדרש במצבר:

המקסימום - גובה במטרים מהקו המרכזי של המצבר לנקודה העליונה של נסיגת מים (לבית פרטי דו קומתי 6 ÷ 7 מטר).
לחץ האוויר בתא האוויר של מיכל הבולם נבדק ומותאם לפני ההתקנה, במקרה של כשל בהגדרות או הפרה של מצב ההפעלה של אספקת המים. במהלך ההתאמה, ניתק הכוח של תחנת השאיבה מהרשת, המים מנוקזים מהמצבר.
שסתום תא האוויר הפנאומטי ממוקם מתחת למכסה הדקורטיבי בגוף המיכל. תאימות או סטיית לחץ מהפרמטרים התפעוליים שצוינו נקבעת באמצעות מד לחץ המחובר לסליל. על פי תוצאות המדידה, עודף אוויר מוזרם או שהלחץ של תא האוויר נשאב באמצעות משאבת רכב.
אם התאמת פרמטרי ההפעלה של המצבר לא הביאה את התוצאה הרצויה, בדוק את ההגדרות של מתג הלחץ.
מכשיר למתג לחץ למצבר הידראולי
מתג הלחץ שולט בתפעול המשאבה ומווסת את מילוי המצבר הפנאוהידראולי. המכשיר משלב, שולט ומווסת את פעולת הציוד של מערכת אספקת המים הקרים.
יחידת בקרת המשאבה נראית כמו קופסת פלסטיק קטנה. המכשיר מותקן בכניסה למיכל האחסון. מתג הלחץ למצבר מורכב מחלק מכני וחשמלי.
מנגנון הכוונון הקפיץ ותיבת החיבור מוגנים על ידי כיסוי פלסטיק. לוח הבסיס המתכתי נתמך מתחת למארז פלסטיק. הבסיס מפריד בין גוף העבודה (סרעפת עם בוכנה) לבין המפעיל (פלטפורמה מפרקית, שני קפיצי כוונון על החתיכים ויחידת מגע חשמלית).
החלק החשמלי של מתג לחץ המים הוא ממסר דו-מגעי למיתוג מעגלים חשמליים. רגלי מכלול המגע החשמלי דחוקים בין לוח הבסיס המתכתי לבין בית הפלסטיק. שני מהדקים להידוק הכבל (מהרשת וקו אספקת החשמל של המשאבה) וחיבור הממסר לצבר ממוקמים על בסיס מארז הפלסטיק.
קוטר כניסה רגיל ¼ ”. מצד המכשיר, החלק הפנימי של הידוק האום למתאם מוגבל על ידי קרום גומי. תנועת ההדדיות של הקרום האלסטי מועברת אל בוכנת הפליז, המעבירה את הכוח לפלטפורמת המתכת המפרקית.
מעל, בקצה התנועתי של הרציף, נלחץ קפיץ גדול וקטן, המתנגד לכוח הבוכנה. יחס הדחיסה של הקפיץ הגדול שולט בעת הפעלת המשאבה.טווח העיוות של הקפיץ הקטן מבטיח את כיבוי יחידת הלחץ.
דרכים לחיבור מתג לחץ למצבר הידראולי
ישנן תוכניות לחיבור מתג לחץ למצבר הידראולי למים וחשמל.
כיצד לחבר מתג לחץ מים?
צינור הענף המחבר של מתג הלחץ של מתג לחץ הצבר לצינור מקובע בצורה נוקשה. המכשיר מורכב מורכב. לפני תחילת ההרכבה, וודא שיש מספיק מקום לסיבוב של הבית בעת הרכבה של מתג הלחץ.
המכשיר מוברג על חוט שנחתך בצינור בנפרד או מותקן ישירות על צינור היציאה של המצבר באמצעות התאמה מיוחדת. יציאת חמש כיוונים מאפשרת להתקין מד בדיקה ליד בקרת המשאבה.
כיצד לחבר מתג לחץ למצבר הידראולי באופן חשמלי?
הפעלה ישירה של מתג הלחץ נעשית מרשת 220 וולט, בתנאי שזרם ההפעלה של המשאבה לא יעלה על 10 אמפר.
לפני חיבור הכבל, הסר את מכסה הפלסטיק המגן מהמכשיר. הכבל החשמלי של קו האספקה או המשאבה מובל לשקע מתאים. בחוץ מקבעים את החוט בעזרת אגוז עם טבעת פלסטיק מלחיצה. ייעודן של קבוצות המגע מצוין בגוף. קצה הכבל מחולק לליבות. שלב, ניטרלי, קרקוע הופשט מהצמה הבידודית ומחובר למסופים של קבוצת אנשי הקשר.
חָשׁוּב!עבודות ההתקנה וההתאמה החשמלית מתבצעות כשהציוד מנותק מהרשת. החלק החשמלי מחובר בהתאם לכללים הנורמטיביים של תפעול טכני ואמצעי בטיחות במתקני חשמל.
כללים להתאמת מתג הלחץ למצבר הידראולי
הממסר שולט בלחץ המינימלי והמקסימלי במיכל האחסון, שומר על הפרש הלחץ כאשר המשאבה מופעלת / נכבתה. מגבלת ערכי ההגדרה המותרים של הממסר תלויה בקצב הזרימה השעתי ובעוצמת המשאבה.
מאפייני הגדרת המפעל מצוינים בגיליון נתוני המוצר. הערך הסטנדרטי עבור הגדרת מתג הלחץ למערכות אספקת מים הוא 1.0 ÷ 5.0 אטמוספרות. לחץ ההתחלה הוא 1.5 אטמוספרות. טווח מנוע המשאבה הוא 2.5 אטמוספרות. לחץ הכיבוי המרבי של היחידה הוא 5.0 אטמוספרות.
אם הפרמטרים של הגדרת המפעל אינם עדכניים או שהיחידה לא תקלה, ההגדרה וההתאמה של מתג לחץ המים מתבצעות באופן עצמאי באמצעות מונומטר. הבוחן מותקן על סעפת הצבר. התיקון מתבצע על פי קריאות מד הלחץ לאחר כיבוי המשאבה. ירידת הלחץ נוצרת על ידי פתיחת הברז בנקודת המראת המים הקרובה ביותר למצבר.
מתג הלחץ של המצבר מותאם בלחץ, מבלי לנתק את תחנת השאיבה מאספקת החשמל. המשאבה חייבת למלא את מיכל האחסון ולחץ על הרשת. כאשר הממסר מופעל ומכבה את מנוע היחידה, יש צורך להסיר את מכסה בית הפלסטיק ולשחרר לחלוטין את המתח של מנגנון הקפיץ הקטן.
כיצד להתאים את מתג לחץ המים ללחץ המינימלי להפעלת המשאבה?
הגדרת קפיץ כוונון גדול:
- אגוז ההידוק מסובב בכיוון השעון כדי להגביר את לחץ ההתחלה;
- הרפיית ההידוק - מפחיתה את לחץ הפעלת הממסר והפעלת המנוע;
- כדי לבדוק את תוצאת ההתאמה, פתח את ברז המים ונקז את המים עד להפעלת המשאבה.
כיצד להתאים את מתג הלחץ של המצבר בהתאם ללחץ כיבוי המשאבה?
הגדרת קפיץ כוונון קטן:
- האום על סיכת הקפיץ הקטן מהודק כדי להגדיל את הפרש הלחץ;
- הרפיית ההידוק מאפשרת להוריד את לחץ כיבוי המנוע;
- תוצאת התיקון נבדקת על ידי בדיקת המשאבה.
אם קריאת מד הלחץ תואמת לערך הנדרש בעת הפעלת / כיבוי המנוע, ההתאמה הושלמה. אם אי אפשר להתאים את מכשיר ההפעלה לבד, השתמש בשירותי מומחים מוסמכים או קנה מכשיר חדש. אם תחליט לקנות מתג לחץ לצבר הידראולי, אז שים לב לתאימות העבודה עם ציוד שאיבה ושיטת חיבור המכשיר לאספקת החשמל.
חָשׁוּב! עלייה בערך ההתחלתי של הגדרת המפעל של מתג הלחץ של המצבר (מעל 1.5 אטמוספרות) יוצרת עומס קריטי על דיאפרגמת המצבר. טווח הפעולה של המשאבה משתנה תוך התחשבות בלחץ המרבי המותר עבור אביזרי המים. הלחץ המגביל עבורו מיועדות טבעות האיטום של מערבלים וברזים הוא 6 אטמוספרות.
לחץ האוויר של תא האוויר המצבר אינו משפיע על פעולת מתג הלחץ ותחנת השאיבה כולה. חוסר או מחסור באוויר מוביל למתיחה מוגזמת של הסרעפת ולהפעלת המשאבה בכל פעם שנלקחים מים מהמערכת. לחץ יתר מוגבר של תא האוויר מפחית את נפח המים בקרום ואת מרווח התגובה של מפעל הלחץ. הפעלה וכיבוי תכופים של המשאבה מקצרת את חיי השירות של היחידה.
פעולה רגילה של תחנת השאיבה אפשרית בתנאי שלחץ תא האוויר של המצבר נמוך ב -10% מלחץ הפעלת המשאבה. הגדרה והתאמה מוסמכת של מתג הלחץ והמצבר יבטיחו שהמשאבה תפעל ללא עומס יתר, ומילוי מיטבי של מיכל האגירה במים. גישה משולבת להקמה והתאמת ציוד תארך את חיי הקרום ותגביר את מהימנותה של מערכת אספקת המים האוטונומית.




















