Čo je vodná pištoľ vo vykurovacom systéme? Hydraulický a teplotný nárazník, ktorý poskytuje procesy korelácie teploty prívodu / spiatočky a objednaného maximálneho prietoku chladiacej kvapaliny, sa nazýva hydraulická šípka. Článok na tému: „Hydrostrelka: princíp činnosti, účel a výpočty“ odhaľuje podstatu hydraulického oddelenia vykurovacích okruhov.
Obsah
- 1 Prečo potrebujem hydraulickú šípku vo vykurovacom systéme?
- 2 Šípkové zariadenie na ohrev vody
- 3 Ďalšie funkcie hydraulických šípok
- 4 Princíp činnosti hydraulickej šípky vo vykurovacom systéme súkromného domu
- 5 Metódy výpočtu hydraulickej šípky vo vykurovacom systéme súkromného domu
- 6 Kombinácia vykurovacieho potrubia s hydraulickou šípkou
Prečo potrebujem hydraulickú šípku vo vykurovacom systéme?
Je veľmi jednoduché vysvetliť, prečo je na ohrev potrebná vodná pištoľ. Procesy nerovnováhy v dodávke tepla poznajú vlastníci súkromných domov. Moderný kotol má okruh, ktorý má menší objem ako cirkulačný prietok spotrebiteľa. Prevádzka hydraulickej šípky kúrenia umožňuje oddeliť hydraulický okruh generátora tepla od sekundárneho okruhu, zvýšiť spoľahlivosť a kvalitu systému.
Odpoveď na otázku: „Na čo slúži hydraulická šípka vo vykurovacom systéme?“ Je zoznam výhod vykurovania pomocou hydraulického tepelného oddeľovača:
- separátor je predpokladom toho, aby výrobca zariadenia zaručil údržbu kotla s výkonom 50 kW alebo viac alebo tepelného generátora s liatinovým výmenníkom tepla;
- jednotka poskytuje maximálny prietok s laminárnym prietokom chladiacej kvapaliny, udržuje hydraulickú a teplotnú rovnováhu vykurovacieho systému;
- paralelné pripojenie šípky vykurovacej vody a okruhu spotrebiča vytvára minimálne straty tlaku, výkonu a tepelnej energie;
- usporiadanie kolena prívodných a vratných potrubí zaisťuje teplotný gradient sekundárnych okruhov;

Vývojový diagram chladiacej kvapaliny v rozdeľovač s hydraulickým šípom
- optimálny výber a výpočet hydraulickej šípky na vykurovanie chráni kotol pred rozdielom teplôt medzi prívodom a spätným prúdom, chráni zariadenie pred tepelným šokom, vyrovnáva objem cirkulácie vodných tokov v primárnom a sekundárnom okruhu;
- jednotka zvyšuje účinnosť kotla, umožňuje sekundárnu cirkuláciu časti chladiacej kvapaliny v okruhu kotla, šetrí elektrickú energiu a palivo;
- zmes udržuje konštantný objem kotlovej vody;
- v prípade núdze separátor kompenzuje deficit prietoku v sekundárnom okruhu;
- dutý separátor znižuje účinok čerpadiel s rôznym výkonom kW na sekundárne okruhy a na kotol;
- ďalšie funkcie hydraulického odlučovača - znižuje hydraulický odpor, vytvára podmienky na odlučovanie rozpustených plynov a kalu.

Vo viacokruhových vykurovacích systémoch je pre vyváženú prevádzku povinné použitie hydraulickej šípky
Princíp činnosti vykurovacej šípky umožňuje stabilizáciu hydrodynamických procesov v systéme. Včasné odstránenie mechanických nečistôt z chladiacej kvapaliny predĺži životnosť čerpadiel, ventilov, meračov, senzorov, vykurovacích zariadení. Rozdelením prietokov (okruh generátora tepla a nezávislý okruh spotrebiteľa) hydraulická šípka zaisťuje maximálne využitie tepla na spaľovanie paliva.
Šípkové zariadenie na ohrev vody
Hydraulický separátor je zvislá dutá nádoba vyrobená z rúrok veľkého priemeru (štvorcový profil) s eliptickými zátkami na koncoch. Rozmery odlučovača sú určené výkonom (kW) kotla a závisia od počtu a objemu okruhov.
Na oporných nohách je namontované telo z ťažkého kovu, aby sa zabránilo namáhaniu potrubia potrubím. Kompaktné zariadenia sú pripevnené k stene a umiestnené na konzolách.
Odbočné potrubie hydraulickej šípky a vykurovacie potrubie sú spojené pomocou prírub alebo závitov.
Automatický odvzdušňovací ventil je umiestnený v hornej časti tela. Sediment sa odstráni ventilom alebo špeciálnym ventilom, ktorý sa odreže zospodu.
Materiál na výrobu hydraulického šípu je nízkouhlíková alebo nehrdzavejúca oceľ, meď, polypropylén. Telo je ošetrené antikoróznou zmesou, pokryté tepelnou izoláciou.
Dôležité! Polymérové modely sa používajú v systéme, ktorý ohrieva kotol s výkonom od 13 do 35 kW. Zberač s nízkym úbytkom vyrobený z polypropylénu sa nepoužíva pre tepelné generátory na tuhé palivá. Výroba hydrostatického šípu vlastnými rukami z propylénu si vyžaduje skúsenosti a zručnosti v práci s profesionálnym zámočníkom a ručným elektrickým náradím.
Ďalšie funkcie hydraulických šípok
Pokročilé modely kombinujú funkcie odlučovača, regulátora teploty a odlučovača. Termostatický ventil poskytuje teplotný gradient v sekundárnych okruhoch. Uvoľňovanie rozpusteného kyslíka z chladiacej kvapaliny znižuje riziko erózie vnútorných povrchov zariadenia. Odstránenie suspendovaných častíc z prúdu predlžuje životnosť obežného kolesa a ložísk obehových čerpadiel.
Fotografia zobrazuje výrez modelu vodnej pištole na ohrev:
Horizontálne perforované priečky rozdeľujú vnútorný objem na polovicu. Toky prívodu a spiatočky sa dotýkajú zóny „nulového bodu“ a posúvajú sa rôznymi smermi bez vytvárania ďalšieho odporu.
Na vrchu vo vysokoteplotnej zóne sú vertikálne porézne odvzdušňovacie platne. V spodnej časti krytu je umiestnený zberač kalu a magnetický zachytávač (horčíková anóda).
Možnosti konštrukcie hydraulickej šípky: tlakomer, snímač teploty, ventil termostatu a vedenie napájania systému pri štarte. Komplexné vybavenie vyžaduje úpravu, pravidelné kontroly a údržbu.
Princíp činnosti hydraulickej šípky vo vykurovacom systéme súkromného domu
Tok chladiacej kvapaliny prechádza separátorom rýchlosťou 0,1-0,2 m / s. Čerpadlo kotla urýchľuje horúcu vodu až na 0,7-0,9 m / s. Odporúčaná maximálna rýchlosť poskytuje predstavu o tom, na čo slúži vodná pištoľ na ohrev.
Zmena objemu a smeru pohybu tlmí rýchlosť prúdenia vody s minimálnymi stratami tepelnej energie v systéme. Pohyb laminárneho toku vedie k tomu, že vo vnútri krytu nie je prakticky žiadny hydraulický odpor. Vyrovnávacia zóna oddeľuje kotol a okruh spotrebiteľa. Čerpadlo každého z vykurovacích okruhov pracuje autonómne bez narušenia hydraulickej rovnováhy.
Hydro šípkové okruhy na vykurovanie (prevádzkový režim):
- Neutrálny prevádzkový režim hydraulického odlučovača, v ktorom dopravná výška, prietok, teplota a tepelná energia prívodného a spätného potrubia zodpovedajú konštrukčným parametrom systému. Čerpacie zariadenie má dostatočnú celkovú kapacitu. Pohyb laminárneho toku v hydraulickej šípke poskytuje procesy odvzdušnenia a sedimentácie suspendovaných častíc.
- Schéma odráža princíp činnosti vykurovacej šípky, v ktorej kotol nemá dostatok energie na zabezpečenie prietoku v sekundárnom okruhu. Nedostatok prietoku vedie k zmesi chladného nosiča tepla. Rozdiel v teplotách spiatočky a spiatočky vedie k aktivácii teplotných senzorov. Automatizácia privedie generátor tepla do režimu maximálneho spaľovania, spotrebiteľ však nedostáva dostatok tepla. Vykurovací systém je nevyvážený a hrozí úpal.

Pokiaľ kotol nie je dostatočne výkonný na napájanie sekundárneho okruhu, hrozí nebezpečenstvo tepelného šoku.
- Objemový prietok primárneho okruhu je väčší ako prietok vykurovacieho média závislého okruhu. Možnosť, pri ktorej kotol pracuje v optimálnom režime. Keď je jednotka zapnutá alebo sú paralelne vypnuté čerpadlá sekundárnych okruhov, chladiace médium cirkuluje hydraulickou šípkou pozdĺž primárneho (malého) okruhu. Teplota spiatočky, ktorá vstupuje do kotla, je vyrovnaná zmesou z dodávky. Spotrebiteľovi sa dodáva dostatočné množstvo chladiacej kvapaliny.

Objemový prietok primárneho okruhu je väčší ako prietok chladiacej kvapaliny závislého okruhu - kotol pracuje v optimálnom režime
Predpoklad: kapacita, ktorú má obehové čerpadlo primárneho okruhu (kotla), je o 10% vyššia ako celková maximálna výška výtlaku čerpadiel sekundárneho okruhu.
Metódy výpočtu hydraulickej šípky vo vykurovacom systéme súkromného domu
Ako vypočítať hydraulickú šípku vykurovacieho systému súkromného domu sami? Požadované rozmery môžete vypočítať pomocou vzorcov alebo zvoliť priemer pomocou pravidla „3D“.
- Vzorec určuje priemer (D) na základe maximálneho prietoku zberača s nízkymi stratami (výpočty podľa údajov z pasu kotla):

- Vzorec určuje priemer hydraulickej šípky silou generátora tepla. ΔT teplotný rozdiel vstup / výstup - 10 ° C:

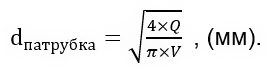
- Priemer odbočného potrubia vstupujúceho do hydraulickej šípky alebo distribučného potrubia:

| Označenie | Dekódovanie symbolu | jednotka merania |
| D | Priemer tela hydraulickej šípky | mm |
| d | Priemer trysky | mm |
| P | Maximálny výkon, ktorý má kotol (údaje z pasu kotla) | kWh |
| G | Maximálny prietok (prietok, prietok) hydraulickým odlučovačom za hodinu | m3/ hod |
| π | Konštantná hodnota (3,14) | |
| ω | Maximálna vertikálna rýchlosť nosiča tepla cez separátor (0,2) | m / s |
| ΔT | Rozdiel medzi teplotou prívodu a spiatočky (údaje z pasu kotla) | ° C |
| C. | Tepelná kapacita vody (relatívna jednotka) | W / (kg ° C) |
| V. | Rýchlosť chladiacej kvapaliny cez sekundárne okruhy | pani |
| Q | Maximálny prietok v okruhu spotrebiča | m3/ h |
Dôležité! Vzorce, pomocou ktorých sa vykonáva výpočet hydraulickej šípky pre vykurovanie, sa získavajú empiricky. Priemer prívodného potrubia do hydraulického odlučovača zodpovedá priemeru výstupu z kotla.
- Stanovenie parametrov hydraulického šípu praktickou metódou:
Približná veľkosť pre malé rozdeľovače sa volí podľa priemeru vstupných (výstupných) dýz. Vzdialenosť medzi vložkami je najmenej 10 priemerov tlmivky. Výška tela je oveľa väčšia ako priemer.
Kľuková sada na vykurovanie sa používa pri výbere veľkých inštalácií. Podľa „pravidla 3d“ je priemer tela tri priemery trysiek. Vzdialenosť 3d určuje proporcie konštrukcie.
- Distribúcia pahýľov pozdĺž výšky oddeľovacieho stĺpca:
Ak systém nemá distribučné potrubie, zvyšuje sa počet pripojení do separátora. Potrubie spájajúce prvý (kotlový) okruh s hydraulickou šípkou je rozložené vo výške. Táto metóda umožňuje upraviť teplotný gradient v priebehu času. Splnenie podmienky je nevyhnutné pre kvalitný výber chladiacej kvapaliny sekundárnymi okruhmi.
Kombinácia vykurovacieho potrubia s hydraulickou šípkou
Malé domy sú vykurované bojlerom so zabudovaným čerpadlom. Sekundárne okruhy sú pripojené k kotlu pomocou hydraulickej šípky. Samostatné obrysy obytných budov s veľkou plochou (od 150 m2) je pripojený cez hrebeň, hydraulický odlučovač bude ťažkopádny.
Súvisiaci článok:
|
Distribučné potrubie je namontované za hydraulickou šípkou. Zariadenie sa skladá z dvoch nezávislých častí, ktoré spájajú prepojky. Podľa počtu sekundárnych obvodov sú potrubia umiestnené v pároch prerezané.
Hrebeň rozdeľovača uľahčuje prevádzku a údržbu zariadenia. Uzatváracie a regulačné ventily systému zásobovania teplom domu sú umiestnené na jednom mieste. Zväčšený priemer kolektora zaisťuje rovnomerné prúdenie medzi jednotlivými okruhmi.
Rozdeľovač a koplanárny rozdeľovač tvoria hydraulický modul. Kompaktná jednotka je vhodná pre stiesnené podmienky malých kotolní.
Pre páskovanie s hviezdičkou sú k dispozícii montážne zásuvky:
- nízkotlakový okruh podlahového kúrenia je pripojený zdola;
- okruh vysokotlakového radiátora - zhora;
- výmenník tepla je na boku, na opačnej strane od hydraulickej šípky.
Na obrázku je znázornená hydraulická šípka s rozdeľovačom. Výrobná schéma predpokladá inštaláciu vyvažovacích ventilov medzi prívodné a spätné potrubie:
Regulačné ventily zabezpečujú maximálny prietok a tlak v okruhoch ďaleko od hydraulického spínača. Vyváženie znižuje procesy nesprávneho škrtenia prietoku, umožňuje dosiahnuť vypočítanú dodávku chladiacej kvapaliny.
Dôležité! Autonómny vykurovací systém označuje systémy, ktoré pracujú s vysokou teplotou média pod tlakom (vrátane hydraulickej šípky na vykurovanie súkromného domu).
Špecialista, ktorý má dostatočné znalosti v tepelnej technike, skúsenosti a pracovné zručnosti (zváranie elektrickým plynom, vodovodné potrubie, práca s ručným elektrickým náradím), môže vyrobiť vykurovaciu šípku vlastnými rukami. Mnoho internetových stránok ponúka podrobné pokyny na výrobu vodnej šípky na vykurovanie. V tomto procese vám môžu pomôcť aj videá.
Teoretické vedomosti pomôžu vypracovať diagramy a výkresy pištole na vykurovaciu vodu, urobiť individuálnu objednávku zariadenia v špecializovanej organizácii, kontrolovať prácu dodávateľa. Zverenie výroby kritických komponentov vykurovacieho systému neprofesionálnym osobám je nebezpečné pre život a zdravie. Je potrebné pamätať na to, že zariadenie poškodené chybou vlastníka nepodlieha záručnej oprave a nemožno ho vrátiť.

















